马克思主义中的生产方式
生产方式的定义
生产方式是指社会中独特的经济体系,包括用于生产和分配该社会内商品和服务的社会关系、主导技术和组织结构。
关键要点
- 生产方式一词描述了通过使用工具和知识等方法,将人类劳动用于改造其环境和资源以生产产品的社会关系。
- 这个术语的提出者埃里克·沃尔夫认为,某些生产方式在人类历史的不同时期占据主导地位。然而,当今不同的社会展示了不同的生产方式。
- 沃尔夫提出了三种生产方式:亲属生产、贡品生产和资本主义。后来的学者增加了其他模式,如小资本主义和社会主义。
- 亲属生产的特点是主要为了生存而进行的劳动,并根据密切的、通常是家庭的社会关系组织起来。
- 贡品生产则由统治阶级和生产阶级组成,生产阶级向统治阶级提供一定比例的产品。统治阶级通常不会将这些产品再投资到其阶层之外,贡品生产系统的组织程度差异很大。
- 资本主义生产的特点是雇主和雇员。与亲属或贡品生产方式不同,生产商品的人既不拥有生产资料,也不保留他们生产的商品的价值。
- 生产方式与生产资料的区别在于,生产方式指的是特定社会中经济生产的具体组织形式,包括该社会使用的生产资料。
历史与概述
在马克思主义以及更现代的人类学经济生活研究中,生产方式一词描述了通过使用工具、技能、组织和知识将自然能量转化为可用产品时,人类劳动所使用的社会关系。
第一个使用生产方式这一术语的是受马克思影响深远的人类学家埃里克·沃尔夫。
在他的讽刺性标题书籍《欧洲与没有历史的人》(1982年)中,沃尔夫展示了后哥伦布时代欧洲扩张和殖民对远离大陆地区的强大、全球性和变革性影响。
马克思主义人类学家使用生产方式的概念作为理解社会中材料关系的工具——甚至作为一种解释为什么处于不同社会位置的人们对他们的社会及其运作有不同的看法的方式。
生产关系与生产力
学者们认为,生产方式有三到六种之多。
在《欧洲与没有历史的人》中,沃尔夫关注了1400年后世界范围内三种生产方式及其互动:亲属(或家庭)、贡品(或亚洲)和资本主义(Wolf, 1982)。
生产方式是指所有者和非所有者之间以及生产力本身之间的关系是如何组织的,这区分了一种类型的社会与另一种类型的社会。
在马克思主义术语中,生产方式是理解特定社会性质的核心。
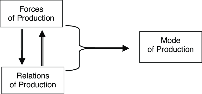
每种生产方式都有两个组成部分:生产资料(劳动、工具和原材料)和生产关系。

马克思关于生产方式的公式,由生产力和生产关系之间的辩证关系构成
生产资料,也称为生产力,是除人类劳动外用于生产的知识和材料。这些手段随着时间的推移而变化,随着社会科学技术知识的发展而演变。
生产关系是人们在参与生产时发现自己并必须承担的一系列有限角色。这些角色具有战略意义,通过相关权利和义务相互定义。
在马克思主义中,生产关系代表了资本家和工人之间的互动方式,这是一种群体层面而非个体层面的互动。例如,工人阶级通常会对雇主强加的工作条件作出反应。
根据马克思主义,工人与非工人之间的关系本质上是对立的。
进行马克思主义分析的人类学家将生产关系作为观察社会的基本单位。
家庭或亲属生产
家庭或亲属有序的生产方式最常描述的是狩猎采集者和小规模自给农民的生活。
这些人具有比其他生产方式更为平等的社会结构——即使这些结构仍受到年龄和性别不平等的影响。
亲属生产方式将相似的人联系在一起,即使他们不一定有基因上的关联。从技术层面上讲,亲属系统不断将出生和招募的人置于社会关系中,这使得一些人能够组织他人的劳动,以完成对自然的必要工作,使一代又一代人得以生存。
在家庭生产方式中,劳动是基于人们彼此之间的关系来组织的:亲属关系。自给农民生产的食物主要用于自己家庭的消费,而不是出售。
在这种以家庭为基础的生产系统中,一个群体——比如男性——可能会清理田地,而整个家庭会一起播种。孩子们可能保护庄稼,男性可能除草和收割作物,然后女性负责晾干和储存玉米。
母亲和女儿随后可能会磨玉米并用它制作家庭每餐食用的食物(Gates, 1996)。
同样,狩猎采集社会的特点是集体拥有主要生产资料——用于生产商品的资源、较低的社会支配率和分享。例如,在纳米比亚多贝朱社会中,人们生活在由兄弟姐妹及其配偶和孩子组成的小团体中。
通常,这个社会中的女性采集植物,而男性狩猎。资源在家庭团体之间共享,并根据需要分发给其他成员。
然而,这些角色并不是固定的:女性可以猎杀动物,男性也可以花时间收集植物食物,即使是在狩猎的时候(Gates, 1996)。
贡品生产(封建主义)
与此同时,贡品生产存在于被划分为统治者和臣民的阶级社会系统中。这些臣民——比如农民或牧羊人——为自己和家人生产,同时还要将一部分产品或劳动力交给统治者。
这种生产方式——事后常被称为封建主义——是许多前资本主义社会的特征。学者们认为,贡品生产方式是从酋长制(源自亲属系统)、农业和战争的结合中产生的。
例如,在封建社会中,封建贵族并不直接控制生产资料,这些资料仍然由农民控制,但通过武力垄断,他们能够占有这些生产资料的产出,并按贵族的意愿分配。
封建社会存在的前提是,非亲属的劳动必须支持统治者的生活。这些社会共享几个特征(Gates, 1996):
- 主要的生产单位是以亲属关系组织的社区。
- 国家依赖于地方社区,人们交给国家的贡品由统治阶级使用,而不是交换或再投资。
- 生产者和统治者之间往往存在对抗关系。
- 生产受政治控制,而不是通过直接控制生产资料。
这些贡品生产方式的组织程度因社会而异。在一些贡品系统中,统治者甚至可以参与大规模生产组织。
例如,古代中国的贡品制度导致了大型国家组织项目,如防洪、运河、灌溉和道路。
此外,中国制度的独特之处在于,统治阶级的组成是基于任何男性都可以申请参加的文学考试,无论其父母的地位如何。
其他组织严密的贡品系统示例包括王朝埃及、前哥伦布时期的印加帝国、中华帝国和罗马帝国。与此同时,封建欧洲、中世纪日本和殖民前巴厘岛被认为拥有较为松散的贡品系统(Gates, 1996)。
资本主义生产方式
资本主义是现代社会中最近期、但也最熟悉的生产方式。资本主义生产方式首次出现于18世纪和19世纪的北美和西欧工业革命期间(Gates, 1996)。
在资本主义中,企业家购买或租赁他们需要但尚未拥有的所有材料——马克思主义者称之为生产要素。这些材料可以包括资金、原材料、机器、土地、建筑物、能源和专利。
企业家然后通过劳动力市场雇佣工人来完成工作。商人可以在出售用材料和机器生产的产品后支付工人工资,并决定如何处理剩余利润——例如是否消费或再投资,以及如何再投资。
资本主义的主要权力动态在于雇主和雇员之间的关系。这一点在18世纪初的英国尤为明显,当时工业化的工厂生产首次使大规模资本主义成为现实可能性。
将资本主义与亲属和贡品生产区分开来的因素是资本家阶级拥有的私有财产。在其他生产方式中,工人通常拥有自己的生产资料——如工具或他们耕种的土地。
然而,在资本主义中,工人通常不拥有他们工作的工厂或企业。为了生存,他们必须将自己的劳动力卖给其他人:资本家(Gates, 1996)。
通过保持低工资,资本家可以以高于生产成本的价格出售工人劳动的成果。实际上,这意味着工人与生产资料分离,而在家庭或贡品生产方式中,他们并没有分离。
在家庭和贡品生产方式中,工人还保留对其生产的产品和劳动的控制权,这意味着他们可以决定何时工作和何时不工作。在资本主义中,员工通常不能决定每天是否上班。
这意味着,为了完成工作,员工必须身体和精神上投入工作。马克思主义者认为,劳动不是生产要素,即使社会行为好像有劳动力市场,就像有其他生产要素市场一样。
相反,劳动是一种人类活动,与执行者不可分割。在资本主义中,企业家有权获得他未返还给工人的劳动价值,因为他发起了并其他人接受了导致生产的合同。
这得到了他所在国家法律制度的支持。
小资本主义生产
商品是有意为市场而不是生产者自身消费而生产的货物和服务。小资本家是通过以亲属原则组织的企业生产商品的人。
这些企业的增长受到政府要求和需求的限制。这些小资本家可以与政府机构合作,抵制和抵抗政府对市场活动的限制。最终,这种活动旨在使国家受益。
小资本主义与资本主义的区别不在于与国家的关系,而在于与劳动的关系。在资本主义中,劳动者是在市场上雇佣的。
而在小资本主义中,各种劳动剥削形式,如童工、奴隶制、契约劳役、学徒制、种姓制度等都是可用的。
这两种模式的生产关系导致一些分析师认为它们是通往资本主义的过渡阶段。
一些学者认为,小资本主义生产方式从属于贡品生产方式,因为在贡品生产方式中,国家本身坚持维持亲属关系作为生产的基础,并将剩余部分转移给国家(Gates, 1996)。
社会主义
社会主义可以被认为是第五种生产方式,尽管它在很大程度上仍然是理论性的。
虽然有几次尝试在小规模和大规模上建立社会主义,但无阶级社会从事生产并不是这些实验的常见结果。
社会主义经常面临来自资本主义所有者的暴力反对——他们将不再能够从中获利或指导投资——以及贡品提取国家管理者,他们需要对社会公民负责(Gates, 1996)。
生产方式与生产手段
生产方式与生产手段的区别
生产方式指的是在特定社会中经济生产的具体组织形式。
这个术语较新,包括特定社会使用的生产手段,如工厂、机器和原材料。
生产手段有两个广泛类别:劳动工具和劳动对象。
劳动工具包括生产商品所需的工具、工厂、基础设施等,而劳动对象指自然资源和原材料。在工业化社会中,生产手段还可以包括工厂和矿山。
与此同时,生产方式指的是人们生产生存所需的方式。沃尔夫和马克思(1982)认为,人类社会可以通过不同主导生产方式的时期来描述。
参考文献
Engels, F. (1974). 德意志意识形态,第一部分:附第二部分和第三部分选段及马克思的政治经济学批判导言. Lawrence & Wishart.
Gates, H. (1996). 中国的小资本主义:千年的历史. Cornell University Press.
Jessop, R. (1990). 生产方式. 马克思经济学 (pp. 289-296). Palgrave Macmillan, London.
Marx, K. (1967). 共产党宣言, 译者:Samuel Moore 和 Engels.
Marx, K., Cohen, J., & Hobsbawm, E. J. (1966). 前资本主义经济形态. Science and Society, 30(3).
生产方式与生产手段. (2021, July 22). https://socialsci.libretexts.org/@go/page/56423
Wolf, E. R. (1982). 欧洲与没有历史的人们. Univ of California Press.
Wolpe, H. (1980). 生产方式的结合:来自经济与社会的文章. London: Routledge and Kegan Paul.
引用来源
本文翻译自以下网站:
simplypsychology.org
使用声明
本文仅供教育和参考用途。如需转载或引用,请注明出处和作者。
如果你有任何问题或建议,请随时联系微信公众号。